Behavioral Economic (be) Easy (ez) Demand beezdemand hexagonal logo

CRAN_Status_Badge downloads total R-CMD-check Codecov test coverage pkgdown

Behavioral economic demand is gaining in popularity. The motivation behind beezdemand was to create an alternative tool to conduct these analyses. It is meant for researchers to conduct behavioral economic (be) demand the easy (ez) way.

Note About Use

Currently, this version is stable. I encourage you to use it but be aware that, as with any software release, there might be (unknown) bugs present. I’ve tried hard to make this version usable while including the core functionality (described more below). However, if you find issues or would like to contribute, please open an issue on my GitHub page or email me.

Which Model Should I Use?

Your Situation Recommended Approach Learn More
Single purchase task, individual fits fit_demand_fixed() Fixed demand
Need group comparisons, random effects fit_demand_mixed() Mixed demand
Many zeros, two-part modeling needed fit_demand_hurdle() Hurdle models
Cross-commodity substitution fit_cp_*() functions Cross-price models

For detailed guidance on choosing the right modeling approach, see the model selection guide or vignette("model-selection"). Full documentation is available at the pkgdown site.

Installing beezdemand

The latest stable version of beezdemand can be found on CRAN and installed using the following command. The first time you install the package, you may be asked to select a CRAN mirror. Simply select the mirror geographically closest to you.

install.packages("beezdemand")

library(beezdemand)

GitHub Release

To install a stable release directly from GitHub, first install and load the devtools package. Then, use install_github to install the package and associated vignette. You don’t need to download anything directly from GitHub, as you should use the following instructions:

install.packages("devtools")

devtools::install_github("brentkaplan/beezdemand", build_vignettes = TRUE)

library(beezdemand)

Using the Package

Example Dataset

An example dataset of responses on an Alcohol Purchase Task is provided. This object is called apt and is located within the beezdemand package. These data are a subset of from the paper by Kaplan & Reed (2018). Participants (id) reported the number of alcoholic drinks (y) they would be willing to purchase and consume at various prices (x; USD). Note the format of the data, which is called “long format”. Long format data are data structured such that repeated observations are stacked in multiple rows, rather than across columns. First, take a look at an extract of the dataset apt, where I’ve subsetted rows 1 through 10 and 17 through 26:

id x y
1 19 0.0 10
2 19 0.5 10
3 19 1.0 10
4 19 1.5 8
5 19 2.0 8
6 19 2.5 8
7 19 3.0 7
8 19 4.0 7
9 19 5.0 7
10 19 6.0 6
17 30 0.0 3
18 30 0.5 3
19 30 1.0 3
20 30 1.5 3
21 30 2.0 2
22 30 2.5 2
23 30 3.0 2
24 30 4.0 2
25 30 5.0 2
26 30 6.0 2

The first column contains the row number. The second column contains the id number of the series within the dataset. The third column contains the x values (in this specific dataset, price per drink) and the fourth column contains the associated responses (number of alcoholic drinks purchased at each respective price). There are replicates of id because for each series (or participant), several x values were presented.

Converting from Wide to Long and Vice Versa

For quick conversion, use the built-in convenience function:

long <- pivot_demand_data(wide, format = "long", id_var = "id")

Below is a manual walkthrough using tidyr for when you need more control.

Take for example the format of most datasets that would be exported from a data collection software such as Qualtrics or SurveyMonkey or Google Forms:

## the following code takes the apt data, which are in long format, and converts
## to a wide format that might be seen from data collection software
wide <- tidyr::pivot_wider(apt, names_from = x, values_from = y)
colnames(wide) <- c("id", paste0("price_", seq(1, 16, by = 1)))
knitr::kable(wide[1:5, 1:10])
id price_1 price_2 price_3 price_4 price_5 price_6 price_7 price_8 price_9
19 10 10 10 8 8 8 7 7 7
30 3 3 3 3 2 2 2 2 2
38 4 4 4 4 4 4 4 3 3
60 10 10 8 8 6 6 5 5 4
68 10 10 9 9 8 8 7 6 5

A dataset such as this is referred to as “wide format” because each participant series contains a single row and multiple measurements within the participant are indicated by the columns. This data format is fine for some purposes; however, for beezdemand, data are required to be in “long format” (in the same format as the example data described earlier). In order to convert to the long format, some steps will be required.

First, it is helpful to rename the columns to what the prices actually were. For example, for the purposes of our example dataset, price_1 was $0.00 (free), price_2 was $0.50, price_3 was $1.00, and so on.

## make an object to hold what will be the new column names
newcolnames <- c("id", "0", "0.5", "1", "1.50", "2", "2.50", "3",
                 "4", "5", "6", "7", "8", "9", "10", "15", "20")
## current column names
colnames(wide)
 [1] "id"       "price_1"  "price_2"  "price_3"  "price_4"  "price_5" 
 [7] "price_6"  "price_7"  "price_8"  "price_9"  "price_10" "price_11"
[13] "price_12" "price_13" "price_14" "price_15" "price_16"
## replace current column names with new column names
colnames(wide) <- newcolnames

## how new data look (first 5 rows only)
knitr::kable(wide[1:5, ])
id 0 0.5 1 1.50 2 2.50 3 4 5 6 7 8 9 10 15 20
19 10 10 10 8 8 8 7 7 7 6 6 5 5 4 3 2
30 3 3 3 3 2 2 2 2 2 2 2 2 1 1 1 1
38 4 4 4 4 4 4 4 3 3 3 3 2 2 2 0 0
60 10 10 8 8 6 6 5 5 4 4 3 3 2 2 0 0
68 10 10 9 9 8 8 7 6 5 5 5 4 4 3 0 0

Now we can convert into a long format using some of the helpful functions in the tidyverse package (make sure the package is loaded before trying the commands below).

## using the dataframe 'wide', we specify the key will be 'price', the values
## will be 'consumption', and we will select all columns besides the first ('id')
long <- tidyr::pivot_longer(wide, -id, names_to = "price", values_to = "consumption")

## we'll sort the rows by id
long <- arrange(long, id)

## view the first 20 rows
knitr::kable(long[1:20, ])
id price consumption
19 0 10
19 0.5 10
19 1 10
19 1.50 8
19 2 8
19 2.50 8
19 3 7
19 4 7
19 5 7
19 6 6
19 7 6
19 8 5
19 9 5
19 10 4
19 15 3
19 20 2
30 0 3
30 0.5 3
30 1 3
30 1.50 3

Two final modifications we will make will be to (1) rename our columns to what the functions in beezdemand will expect to see: id, x, and y, and (2) ensure both x and y are in numeric format.

colnames(long) <- c("id", "x", "y")

long$x <- as.numeric(long$x)
long$y <- as.numeric(long$y)
knitr::kable(head(long))
id x y
19 0.0 10
19 0.5 10
19 1.0 10
19 1.5 8
19 2.0 8
19 2.5 8

The dataset is now “tidy” because: (1) each variable forms a column, (2) each observation forms a row, and (3) each type of observational unit forms a table (in this case, our observational unit is the Alcohol Purchase Task data). To learn more about the benefits of tidy data, readers are encouraged to consult Hadley Wikham’s essay on Tidy Data.

Obtain Descriptive Data

Descriptive statistics at each price (mean, SD, proportion of zeros, min, max) are available via get_descriptive_summary():

desc <- get_descriptive_summary(apt)
desc
Descriptive Summary of Demand Data
===================================

Call:
get_descriptive_summary(data = apt)

Data Summary:
  Subjects: 10
  Prices analyzed: 16

Statistics by Price:
 Price Mean Median   SD PropZeros NAs Min Max
     0  6.8    6.5 2.62       0.0   0   3  10
   0.5  6.8    6.5 2.62       0.0   0   3  10
     1  6.5    6.5 2.27       0.0   0   3  10
   1.5  6.1    6.0 1.91       0.0   0   3   9
     2  5.3    5.5 1.89       0.0   0   2   8
   2.5  5.2    5.0 1.87       0.0   0   2   8
     3  4.8    5.0 1.48       0.0   0   2   7
     4  4.3    4.5 1.57       0.0   0   2   7
     5  3.9    3.5 1.45       0.0   0   2   7
     6  3.5    3.0 1.43       0.0   0   2   6
     7  3.3    3.0 1.34       0.0   0   2   6
     8  2.6    2.5 1.51       0.1   0   0   5
     9  2.4    2.0 1.58       0.1   0   0   5
    10  2.2    2.0 1.32       0.1   0   0   4
    15  1.1    0.5 1.37       0.5   0   0   3
    20  0.8    0.0 1.14       0.6   0   0   3
Price Mean Median SD PropZeros NAs Min Max
0 6.8 6.5 2.62 0.0 0 3 10
0.5 6.8 6.5 2.62 0.0 0 3 10
1 6.5 6.5 2.27 0.0 0 3 10
1.5 6.1 6.0 1.91 0.0 0 3 9
2 5.3 5.5 1.89 0.0 0 2 8
2.5 5.2 5.0 1.87 0.0 0 2 8
3 4.8 5.0 1.48 0.0 0 2 7
4 4.3 4.5 1.57 0.0 0 2 7
5 3.9 3.5 1.45 0.0 0 2 7
6 3.5 3.0 1.43 0.0 0 2 6
7 3.3 3.0 1.34 0.0 0 2 6
8 2.6 2.5 1.51 0.1 0 0 5
9 2.4 2.0 1.58 0.1 0 0 5
10 2.2 2.0 1.32 0.1 0 0 4
15 1.1 0.5 1.37 0.5 0 0 3
20 0.8 0.0 1.14 0.6 0 0 3

A box-and-whisker plot is built in:

plot(desc)

Box-and-whisker plot showing consumption at each price point

Legacy equivalent: GetDescriptives(dat = apt, bwplot = TRUE). See vignette("migration-guide") for details.

Change Data

There are certain instances in which data are to be modified before fitting, for example when using an equation that logarithmically transforms y values. The following function can help with modifying data:

ChangeData(dat = apt, nrepl = 1, replnum = 0.01, rem0 = FALSE, remq0e = FALSE,
           replfree = NULL)

Identify Unsystematic Responses

Stein et al.’s (2015) algorithm for identifying unsystematic responses is available via check_systematic_demand():

sys_check <- check_systematic_demand(apt)
sys_check
Systematicity Check (demand)
------------------------------ 
Total patterns: 10 
Systematic: 10 ( 100 %)
Unsystematic: 0 ( 0 %)

Use summary() for details, tidy() for per-subject results.
summary(sys_check)
Systematicity Check Summary (demand)
================================================== 

Total patterns: 10 
Systematic: 10 ( 100 %)
Unsystematic: 0 ( 0 %)

Failures by Criterion:
# A tibble: 4 × 3
  criterion n_fail pct_fail
  <chr>      <int>    <dbl>
1 trend          0        0
2 bounce         0        0
3 reversals      0        0
4 overall        0        0

Legacy equivalent: CheckUnsystematic(dat = apt, deltaq = 0.025, bounce = 0.1, reversals = 0, ncons0 = 2). See vignette("migration-guide") for details.

Analyze Demand Data

Obtaining Empirical Measures

Empirical measures (intensity, breakpoint, Omax, Pmax) can be obtained via get_empirical_measures():

emp <- get_empirical_measures(apt)
emp
Empirical Demand Measures
=========================

Call:
get_empirical_measures(data = apt)

Data Summary:
  Subjects: 10
  Subjects with zero consumption: Yes
  Complete cases (no NAs): 6

Empirical Measures:
  id Intensity BP0 BP1 Omaxe Pmaxe
  19        10  NA  20    45    15
  30         3  NA  20    20    20
  38         4  15  10    21     7
  60        10  15  10    24     8
  68        10  15  10    36     9
 106         5   8   7    15     5
 113         6  NA  20    45    15
 142         8  NA  20    60    20
 156         7  20  15    21     7
 188         5  15  10    15     5
id Intensity BP0 BP1 Omaxe Pmaxe
19 10 NA 20 45 15
30 3 NA 20 20 20
38 4 15 10 21 7
60 10 15 10 24 8
68 10 15 10 36 9

Legacy equivalent: GetEmpirical(dat = apt). See vignette("migration-guide") for details.

Fitting Demand Curves

The recommended function for fitting individual demand curves is fit_demand_fixed(). It provides a modern S3 interface with summary(), coef(), tidy(), glance(), predict(), and plot() methods.

Key arguments:

Individual fits (Hursh & Silberberg equation)

fit_hs <- fit_demand_fixed(apt, equation = "hs")
fit_hs
Fixed-Effect Demand Model
==========================

Call:
fit_demand_fixed(data = apt, equation = "hs")

Equation: hs 
k: fixed (2) 
Subjects: 10 ( 10 converged, 0 failed)

Use summary() for parameter summaries, tidy() for tidy output.

Extract coefficients and tidy output:

head(coef(fit_hs))
# A tibble: 6 × 5
  id    term  estimate estimate_scale term_display
  <chr> <chr>    <dbl> <chr>          <chr>       
1 19    q0    10.2     natural        q0          
2 19    alpha  0.00205 natural        alpha       
3 30    q0     2.81    natural        q0          
4 30    alpha  0.00587 natural        alpha       
5 38    q0     4.50    natural        q0          
6 38    alpha  0.00420 natural        alpha       
id term estimate std.error statistic p.value component estimate_scale term_display estimate_internal
19 Q0 10.158665 0.2685323 NA NA fixed natural Q0 10.158665
30 Q0 2.807366 0.2257764 NA NA fixed natural Q0 2.807366
38 Q0 4.497456 0.2146862 NA NA fixed natural Q0 4.497456
60 Q0 9.924274 0.4591683 NA NA fixed natural Q0 9.924274
68 Q0 10.390384 0.3290277 NA NA fixed natural Q0 10.390384
106 Q0 5.683566 0.3002817 NA NA fixed natural Q0 5.683566
113 Q0 6.195949 0.1744096 NA NA fixed natural Q0 6.195949
142 Q0 6.171990 0.6408575 NA NA fixed natural Q0 6.171990
156 Q0 8.348973 0.4105617 NA NA fixed natural Q0 8.348973
188 Q0 6.303639 0.5636959 NA NA fixed natural Q0 6.303639

Koffarnus equation

fit_koff <- fit_demand_fixed(apt, equation = "koff")
fit_koff
Fixed-Effect Demand Model
==========================

Call:
fit_demand_fixed(data = apt, equation = "koff")

Equation: koff 
k: fixed (2) 
Subjects: 10 ( 10 converged, 0 failed)

Use summary() for parameter summaries, tidy() for tidy output.

Mean curve

fit_mean <- fit_demand_fixed(apt, equation = "hs", agg = "Mean")
fit_mean
Fixed-Effect Demand Model
==========================

Call:
fit_demand_fixed(data = apt, equation = "hs", agg = "Mean")

Equation: hs 
k: fixed (2) 
Aggregation: Mean 
Subjects: 1 ( 1 converged, 0 failed)

Use summary() for parameter summaries, tidy() for tidy output.

Shared k

fit_share <- fit_demand_fixed(apt, equation = "hs", k = "share")
Beginning search for best-starting k

Best k found at 0.93813356574003 = err: 0.744881846162718

Searching for shared K, this can take a while...
fit_share
Fixed-Effect Demand Model
==========================

Call:
fit_demand_fixed(data = apt, equation = "hs", k = "share")

Equation: hs 
k: share 
Subjects: 10 ( 10 converged, 0 failed)

Use summary() for parameter summaries, tidy() for tidy output.

Plotting Demand Curves

All fit_demand_fixed() results support plot():

plot(fit_hs, type = "individual", x_trans = "log10")
Free is shown as `0.01` for purposes of plotting.

Individual demand curves for all participants showing consumption versus price on log scale

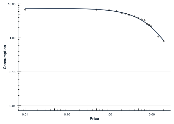
plot(fit_mean, x_trans = "log10")
Free is shown as `0.01` for purposes of plotting.

Mean demand curve across all participants showing average consumption at each price on log scale

Legacy equivalent: The FitCurves() + PlotCurves() workflow is still available for backward compatibility. See vignette("migration-guide") for transitioning from FitCurves() to fit_demand_fixed().

Compare Values of \(\alpha\) and \(Q_0\) via Extra Sum-of-Squares F-Test

For mixed-effects group comparisons, consider fit_demand_mixed() with group factors. See vignette("group-comparisons").

When one has multiple groups, it may be beneficial to compare whether separate curves are preferred over a single curve. This is accomplished by the Extra Sum-of-Squares F-test. This function (using the argument compare) will determine whether a single \(\alpha\) or a single \(Q_0\) is better than multiple \(\alpha\)s or \(Q_0\)s. A single curve will be fit, the residual deviations calculated and those residuals are compared to residuals obtained from multiple curves. A resulting F statistic will be reporting along with a p value.

## setting the seed initializes the random number generator so results will be
## reproducible
set.seed(1234)

## manufacture random grouping
apt$group <- NA
apt[apt$id %in% sample(unique(apt$id), length(unique(apt$id))/2), "group"] <- "a"
apt$group[is.na(apt$group)] <- "b"

## take a look at what the new groupings look like in long form
knitr::kable(apt[1:20, ])
id x y group
19 0.0 10 a
19 0.5 10 a
19 1.0 10 a
19 1.5 8 a
19 2.0 8 a
19 2.5 8 a
19 3.0 7 a
19 4.0 7 a
19 5.0 7 a
19 6.0 6 a
19 7.0 6 a
19 8.0 5 a
19 9.0 5 a
19 10.0 4 a
19 15.0 3 a
19 20.0 2 a
30 0.0 3 b
30 0.5 3 b
30 1.0 3 b
30 1.5 3 b
## in order for this to run, you will have had to run the code immediately
## preceeding (i.e., the code to generate the groups)
ef <- ExtraF(dat = apt, equation = "koff", k = 2, groupcol = "group", verbose = TRUE)
Null hypothesis: alpha same for all data sets

Alternative hypothesis: alpha different for each data set

Conclusion: fail to reject the null hypothesis

F(1,156) = 0.0298, p = 0.8631

A summary table (broken up here for ease of display) will be created when the option verbose = TRUE. This table can be accessed as the dfres object resulting from ExtraF. In the example above, we can access this summary table using ef$dfres:

Group Q0d K R2 Alpha
Shared NA NA NA NA
a 8.489634 2 0.6206444 0.0040198
b 5.848119 2 0.6206444 0.0040198
Not Shared NA NA NA NA
a 8.503442 2 0.6448801 0.0040518
b 5.822075 2 0.5242825 0.0039376

Fitted Measures

Group N AbsSS SdRes
Shared NA NA NA
a 160 387.0945 1.570213
b 160 387.0945 1.570213
Not Shared NA NA NA
a 80 249.2764 1.787695
b 80 137.7440 1.328890

Uncertainty and Model Information

Group EV Omaxd Pmaxd
Shared NA NA NA
a 0.8795301 22.63159 8.453799
b 0.8795301 22.63159 12.272265
Not Shared NA NA NA
a 0.8725741 22.45260 8.373320
b 0.8978945 23.10414 12.584550

Derived Measures

Group Omaxa Notes
Shared NA NA
a 22.63190 converged
b 22.63190 converged
Not Shared NA NA
a 22.45291 converged
b 23.10445 converged

Convergence and Summary Information

When verbose = TRUE, objects from the result can be used in subsequent graphing. The following code generates a plot of our two groups. We can use the predicted values already generated from the ExtraF function by accessing the newdat object. In the example above, we can access these predicted values using ef$newdat. Note that we keep the linear scaling of y given we used Koffarnus et al. (2015)’s equation fitted to the data.

## be sure that you've loaded the tidyverse package (e.g., library(tidyverse))
ggplot(apt, aes(x = x, y = y, group = group)) +
  ## the predicted lines from the sum of squares f-test can be used in subsequent
  ## plots by calling data = ef$newdat
  geom_line(aes(x = x, y = y, group = group, color = group),
            data = ef$newdat[ef$newdat$x >= .1, ]) +
  stat_summary(fun.data = "mean_se", aes(color = group),
               geom = "errorbar", orientation = "x", width = 0) +
  stat_summary(fun = "mean", aes(fill = group), geom = "point", shape = 21,
               color = "black", stroke = .75, size = 4, orientation = "x") +
  scale_x_continuous(limits = c(.4, 50), breaks = c(.1, 1, 10, 100)) +
  coord_trans(x = "log10") +
  scale_color_discrete(name = "Group") +
  scale_fill_discrete(name = "Group") +
  labs(x = "Price per Drink", y = "Drinks Purchased") +
  theme(legend.position = c(.85, .75)) +
  ## theme_apa is a beezdemand function used to change the theme in accordance
  ## with American Psychological Association style
  theme_apa()

Demand curves for two groups showing consumption versus price on log scale, with error bars and fitted exponential curves

Cross-Price Demand Models

In addition to classic purchase-task analyses, beezdemand now includes functions for cross-price demand modeling. These tools help you check for unsystematic data, fit nonlinear or linear/mixed-effects cross-price models, and visualize the results.

Key functions:

Minimal example (using the included ETM dataset):

library(dplyr)
data(etm, package = "beezdemand")

# Focus on one product/id and check for unsystematic responding
ex <- etm |> filter(group %in% "E-Cigarettes", id %in% 1)
check_unsystematic_cp(ex)

# Nonlinear cross-price model (exponentiated form)
fit_nls <- fit_cp_nls(ex, equation = "exponentiated", return_all = TRUE)
summary(fit_nls)
plot(fit_nls, x_trans = "log10")

Linear mixed-effects cross-price model across all participants:

fit_mixed <- fit_cp_linear(
  etm,
  type = "mixed",
  log10x = TRUE,
  group_effects = "interaction",
  return_all = TRUE
)
summary(fit_mixed)
plot(fit_mixed, x_trans = "log10", pred_type = "all")

See the vignette “How to Use Cross-Price Demand Model Functions” for a full walkthrough of data structure, modeling options, visualization, and post-hoc comparisons.

Mixed-Effects Demand Models

beezdemand also supports nonlinear mixed-effects demand models to estimate subject-level parameters (e.g., Q0 and alpha) while modeling fixed effects of conditions (e.g., dose, drug). The zben equation form pairs well with the included LL4 transformation to handle zeros and wide dynamic ranges.

Key functions:

Minimal example (using the included nonhuman dataset ko):

library(dplyr)
data(ko, package = "beezdemand")

# Fit zben form on LL4-transformed consumption with two factors
fit_nlme <- fit_demand_mixed(
  data = ko,
  y_var = "y_ll4",
  x_var = "x",
  id_var = "monkey",
  factors = c("drug", "dose"),
  equation_form = "zben"
)
print(fit_nlme)

# Plot on the natural (back-transformed) scale
plot(
  fit_nlme,
  inv_fun = ll4_inv,
  x_trans = "pseudo_log",
  y_trans = "pseudo_log"
)

For more details, see the “Mixed-Effects Demand Modeling with beezdemand” vignette, which covers starting values, fixed/random effects, and post-hoc analyses of parameter estimates.

Learn More About Functions

To learn more about a function and what arguments it takes, type “?” in front of the function name.

## Modern interface (recommended)
?fit_demand_fixed
?get_empirical_measures
?get_descriptive_summary
?check_systematic_demand

## Legacy interface (still available)
?FitCurves
?CheckUnsystematic

Acknowledgments

Special thanks to the following people who helped provide feedback on this document:

LLM Docs

The package publishes machine-readable documentation for use with AI coding assistants and RAG systems:

Recommended Readings